「墓地と墓石を同時新規購入」が全国で50.9%、既存墓地が46.0%
まず、最初に墓石を建てた墓地の形態からみてみると、「新しく購入した墓地」(寺院墓地17.8%、公営墓地13.8%、民営墓地19.3%)が50.9%、「すでにあった墓地」(寺院墓地17.7%、公営墓地8.9%、民営墓地7.9%、地域や共同体の墓地11.5%)で建立が46.0%でした。
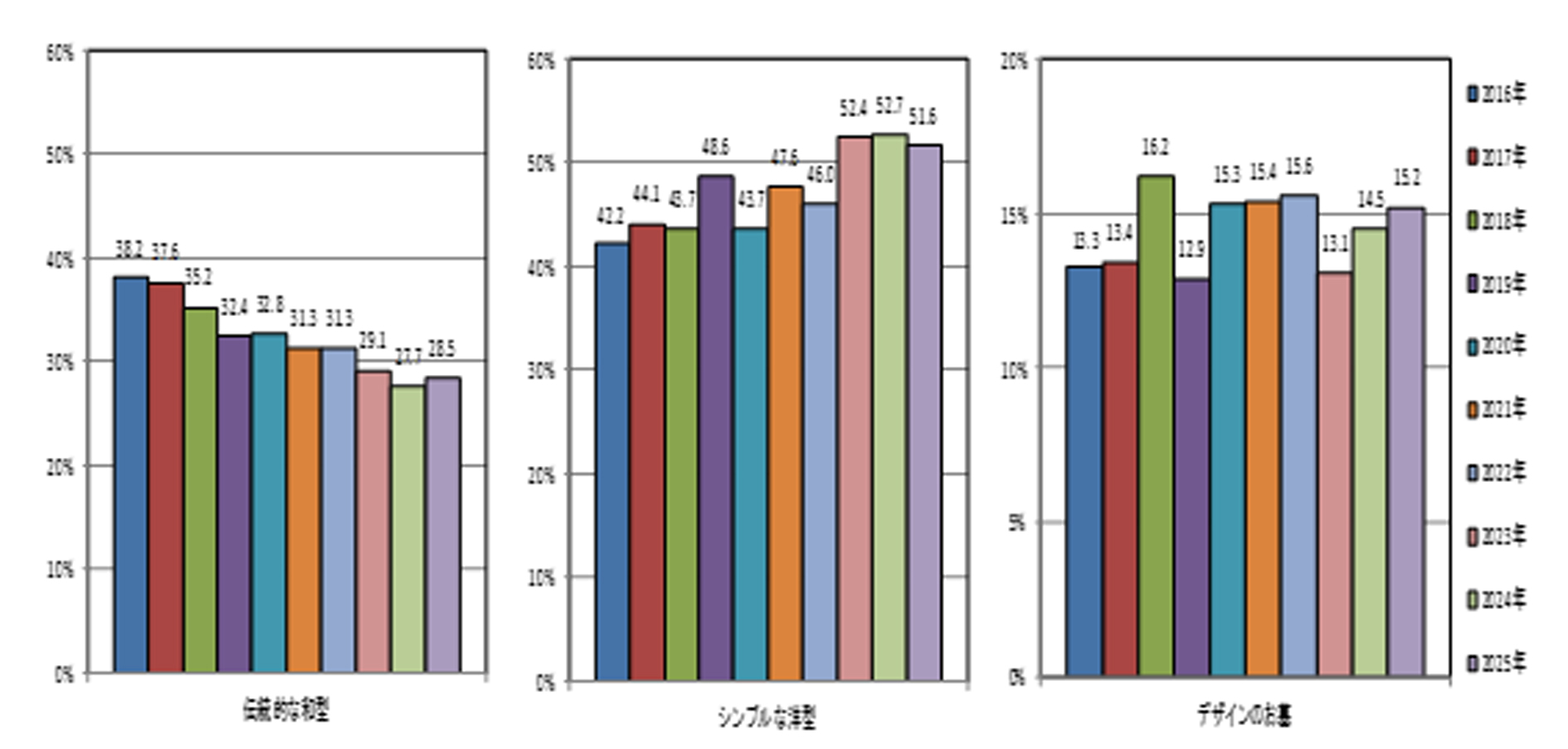
建てたお墓、全国では伝統的な和型が28.5%、シンプルな洋型が51.6%
関西の和形、東日本の洋型の傾向が色濃い
建てたお墓の形を全国でみてみると、「伝統的な和型」は28.5%で、「シンプルな洋型」は51.6%、「デザイン墓」は15.2%となりました。3タイプとも昨年とほぼ同率の結果です。

建立お墓のタイプを2016年からの推移でみてみると「伝統的な和型」が38.2%から9.7%減少し28.5%に、反対に「シンプルな洋型」が42.2%から9.4%アップして51.6%に、「デザイン墓」が13.3%から1.9%アップし15.2%になりました。地域差が大きいが、全国的には今や建てるお墓の半数以上が「シンプルな洋型お墓」となっています。
地域別にみてみると、伝統的な和型お墓が多いのは四国地方で90.9%、次いで中国地方で69.7%、近畿地方63.8%、北陸で51.9%と、北陸、近畿以西の西日本では伝統的な和型を建立する人が今だ多数を占めます。
逆にシンプルな洋型は、東日本の1都3県では68.7%、関東で65.8%、東北65.5%となっています。関西の和型、東日本の洋型の傾向が色濃く出ています。
また、デザインのお墓は北海道地方が33.3%を占め、次いで九州・沖縄の29.0%と続きます。デザイン墓は日本列島の最北と最南で人気のようです。

お墓建立の全国平均価格、昨年より1.5万円安い169.5万円
地域で最も高いのは九州地方で245.7万円、最も安い近畿地方は145.7万円
墓地取得費用を除いた墓石の購入金額は、150万円以上〜200万円未満が最も多く20.3%、次いで200万円以上〜300万円未満が18.7%、120万円以上〜150万円未満が14.5%でした。

次に平均購入価格を計算してみると、全国平均で169.5万円となり、昨年の171万円よりも1.5万円安い169.5万円になりました。お墓の平均購入価格は、ここ4年間ほどは170万円前後を推移しています。

地域別にみてみると、最も高いのは九州地方の245.7万円、次いで北海道地方で175万円、関東地方166.9万円、中国地方の164.8万円の順でした。最も高い九州地方の245.7万円と最も安い近畿地方(145.7万円)では100万円もの差があります。なお九州のお墓は他地域と比べてお墓の規模が大きく、その分石材を多く使うために価格が高くなる傾向にあります。

墓石タイプ別の平均価格で最も高かったのはデザインのお墓で189.7万円、次いで伝統的な和型の182.8万円、最も安かったのはシンプルな洋型で160.3万円でした。

墓石選びの重視点 1.価格、2.石の色、3石の材質.
「墓石選びで重視したことは」という複数回答に対して、@価格51.5%、A石の色40.7%、B石の材質が35.3%、Cデザインの良さ27.4%となっています。

墓石購入時の参考情報は、圧倒的に「石材店のアドバイス」
墓石購入時の参考情報はという質問に、4人に3人(77.8%)と圧倒的多数が「石材店のアドバイス」を挙げています。次いで「墓地に行って他の墓石を参考にした」が36.1%なっています。
お墓に限らず、ネットでの購買等が増えている中で、一生に一度の買いものであるお墓はやはり専門家とリアルに対面し相談することが、失敗しないお墓づくりで不可欠のようです。
また自分らしいお墓建立のために「墓地に行って他の墓石を参考にした」も増えていて、納得のいくお墓づくりの傾向も伺えます。

石のお墓を選んだ理由は「心を込めて供養するのにふさわしいから」
最終的に石の墓を選んだ理由は「心を込めて供養するのにふさわしいから」が44.9%と最も高く、次いで「お墓参りに行きたいから」が37.7%で続きます。伝統的な石のお墓は精神性や尊厳性が高く評価され、世代を超えて供養するにふさわしい自然素材として認識されています。石に手を合わせると気持ちが落ち着くという人も多いようです。

「ご両親」のためにが37.3%、「ご夫婦(あなたと配偶者)」が25.2%
今回建立したお墓は誰のためのお墓なのかを聞いてみました。最も多かったのは「ご両親」で37.3%、次いで「ご夫婦(あなたと配偶者)」25.2%、「ご先祖様」17.6%、「今一緒に暮らしているご家族」9.7%、「あなたご自身」5.0%、「お子様」2.3%という結果でした。

調査回答者の特徴



|